“LAS MUNICIPALIDADES SON ELEMENTOS REVOLUCIONARIOS”. IMPLEMENTACIÓN DE LA JUNTA DE FOMENTO EN GUALEGUAYCHÚ, 1867-1872
PEDRO RODOLFO KOZUL
Consejo Nacional de Investigaciones Científicas y Técnicas
Universidad Nacional de Rosario
Universidad Autónoma de Entre Ríos
Concepción del Uruguay, Entre Ríos, Argentina
PolHis, Revista Bibliográfica Del Programa Interuniversitario De Historia Política,
Año 16, N° 31, pp.104-136
Enero- Junio de 2023
ISSN 1853-7723
Fecha de recepción: 16/01/2023 - Fecha de aceptación:14/08/2023
Resumen
La primera ley de municipalidades elaborada para Entre Ríos, cuya oposición manifestó Justo José de Urquiza al señalar sus “elementos revolucionarios”, suscitó múltiples debates en el gobierno entrerriano. Además, contrario a lo que podría esperarse, el ejecutivo provincial estableció juntas de fomento que funcionaron como instituciones municipales “transitorias”. El presente artículo pretende analizar dicha implementación a partir del caso de Gualeguaychú entre 1867-1872. Con ese fin, determinamos sus articulaciones, negociaciones y tensiones con autoridades locales preexistentes; y relacionamos sus intervenciones en un contexto que se caracterizó por la construcción, modificación y reapropiación de jurisdicciones en múltiples esferas. De este modo, procuramos demostrar que la normativa ligada a esta corporación intentó uniformizar los ámbitos locales. Sin embargo, la configuración de las poblaciones involucradas y el dinamismo que les imprimieron sus miembros, establecieron prioridades en los temas a considerar.
Palabras Clave
Gobierno municipal – Autoridades locales – Entre Ríos – Siglo XIX – Estado.
Municipalities are revolutionary elements.” Implementation of the Development Board in Gualeguaychú, 1867-1872
Abstract
The first law of municipalities elaborated for Entre Ríos, whose opposition was expressed by Justo José de Urquiza when pointing out its “revolutionary elements”, encouraged multiple debates in the government of Entre Ríos. In addition, contrary to what might be expected, the provincial executive branch established development boards that functioned as “transitory” municipal institutions. This article aims to analyze this implementation from the case of Gualeguaychú between 1867 and 1872. To that end, we determine their articulations, negotiations and tensions with pre-existing local authorities; and we relate their interventions in a context that was characterized by the construction, modification and reappropriation of jurisdictions in multiple spheres. In this way, we attempt to demonstrate that the regulations linked to this corporation tried to standardize local areas. However, the configuration of the populations involved and the dynamism that their members imprinted on them, established priorities in the issues to be considered.
Keywords
Municipal government – Local authorities – Entre Ríos – 19th century – State.
“LAS MUNICIPALIDADES SON ELEMENTOS REVOLUCIONARIOS”. IMPLEMENTACIÓN DE LA JUNTA DE FOMENTO EN GUALEGUAYCHÚ, 1867-1872[1]
Introducción
El primer proyecto de Ley de Municipalidades elaborado para Entre Ríos en 1866, cuya oposición expresó Justo José de Urquiza al señalar sus “elementos revolucionarios”, suscitó múltiples debates en el gobierno entrerriano, puesto que no existía consenso entre las principales facciones de poder para determinar su implementación. Sin embargo, en la constitución provincial (1860) se había dispuesto el establecimiento de municipalidades para todas las ciudades, además de que en la legislatura y en algunos periódicos se insistía con el tema. En esta órbita, el gobierno provincial buscó apaciguar la situación a partir de la conformación de juntas de fomento provisorias que se instalaron en distintas localidades de la provincia.
Como es de suponerse, esta etapa del proceso de municipalización entrerriano coincidió con la Guerra del Paraguay y con la lucha electoral por la renovación del gobierno nacional y provincial (Schmit, 2015). A su vez, la década del sesenta se caracterizó en Entre Ríos por una creciente disputa política y profundización del debate público entre federales urquicistas y sus opositores nucleados entre los autodenominados liberales –herederos de la corriente unitaria– y los federales disidentes críticos del gobierno provincial y de la figura de Urquiza (Pérez, 2015). Estas tensiones presentes al interior del federalismo entrerriano se agudizaron con la decisión de Urquiza de prestar apoyo militar en la Guerra del Paraguay al gobierno nacional encabezado por Bartolomé Mitre (Alabart y Pérez, 2019). En paralelo, se estaban produciendo cambios en la sociedad entrerriana: los centros urbanos se ampliaban con el arribo de inmigrantes, comenzaba a gestarse una mayor vida asociativa, se imponían nuevos marcos jurídicos-institucionales y cobraban fuerza las actividades socioculturales en espacios locales (Pérez, 2021). Estos factores, van a incidir en los cuerpos colegiados primigenios que tendrían el desafío de articularse con las autoridades encargadas de la administración en las localidades.
Por lo tanto, en el presente artículo pretendemos analizar las tensiones que se pusieron de manifiesto en torno a la Ley de Municipalidades. Al mismo tiempo, procuramos examinar la implementación y el funcionamiento de las juntas de fomento según el caso de Gualeguaychú entre 1867 y 1872. Para eso, nos centramos en quiénes expresaron las diferentes posturas sobre el establecimiento de municipalidades como en sus argumentos, además de los debates planteados en la sanción de la Ley de Juntas de Fomento. También, evaluamos sus articulaciones y tensiones con la jefatura política. Por último, relacionamos las intervenciones que realizó esta junta de fomento en un contexto que se caracterizó por la construcción, modificación y reapropiación de jurisdicciones en múltiples esferas.
Sobre la base de distintos acervos documentales: leyes, registros electorales, periódicos, sesiones legislativas y la correspondencia que emanó esta junta con diversos funcionarios, argumentamos que la Ley de Juntas de Fomento fue una primera respuesta compartida a nivel provincial, generada en un contexto de disensos y prevenciones políticas y económicas que generó configuraciones desiguales según cada localidad. En este sentido, nos preguntamos: ¿Qué tipos de vínculos se establecieron entre las normativas que aplicó el gobierno entrerriano en la década de 1860 con respecto a las formas de instrumentación que manifestó la junta de fomento de Gualeguaychú? ¿Sobre qué asuntos intervino esta corporación?, ¿cuáles fueron sus modos de funcionamiento? Y, según el tipo de jurisdicción que ejerció esta junta: ¿con qué otros actores y autoridades entabló relaciones?
De este modo, intentamos incorporar nuevos elementos a la producción historiográfica que centra su abordaje en los municipios decimonónicos.[2] Para eso, hacemos foco en las formas “transitorias” de municipalización, que, para la región rioplatense, han sido problemáticas escasamente tratadas.[3] En efecto, nuestro análisis sobre la junta de fomento de Gualeguaychú puede ser un insumo importante para iluminar sobre estas aristas y poder abrir el dialogo a nuevas líneas investigativas.
Ahora bien, dividimos el texto en cuatro partes. En principio, analizamos la normativa y los debates suscitados en la Cámara Legislativa. En los siguientes apartados, reconstruimos la configuración histórica de Gualeguaychú; abordamos las trayectorias, comportamientos y atributos de los individuos que integraron esta junta a los efectos de justipreciar sus movimientos entre diferentes niveles y los tipos de relaciones que entablaron con otras autoridades.
1. Las juntas de fomento ante la ausencia de municipalidades
Desde 1863, existió un proyecto de municipalidades que la Cámara de Diputados debatió en cinco sesiones, pero los legisladores postergaron su resolución esgrimiendo diversos motivos. En el albor de 1866, este asunto fue emplazado con mayor firmeza. En una sesión de abril, el diputado Juan Barañao sostuvo que, habiendo entrado el presupuesto general y la ley de municipalidades, instó en principio la discusión del balance económico, pues de su diagnóstico saldrían los recursos para establecer las municipalidades. En consecuencia, propuso aplazar su lectura.[4] Al respecto, fue sugerente la intervención que realizó Onésimo Leguizamón. Este, alertó que “una institución tan importante [como] la municipalidad” sería estéril sin las rentas que “la Constitución le asigna”.
En concreto, los diputados arguyeron que, al confeccionar la Ley de Municipalidades, la comisión redactora no estableció los recursos que tenía el gobierno provincial para transferir a estas corporaciones, pero condicionaron su aplazamiento si sería tratado luego de aprobarse el presupuesto de la provincia. No obstante, dicho proyecto fue debatido recién en 1871. Evidentemente, la falta de claridad en los recursos que serían transferidos desde el gobierno hacia sus localidades, amén de los posicionamientos políticos internos (Bressan, 2018) y la grave situación de las cuentas públicas de la provincia (Schmit, 2008), fueron motivos suficientes para demorar su tratamiento en la Cámara Legislativa.
Teniendo en cuenta estas complicaciones, se pronunció Urquiza en respuesta al ministro general del gobernador José María Domínguez.[5] Por medio de una carta, vertió su pensamiento sobre el proyecto de Ley de Municipalidades que entró en la Cámara Legislativa. Este documento, resulta ilustrativo de los debates que se produjeron en el periodo para la implementación de municipalidades. Por esa razón, citamos in extenso su contenido:
Tú habrás oído más de una vez mis vistos sobre esta materia; y tendrás noticia quizás, que siendo yo Presidente de la República se trató de plantear municipalidades, siendo el iniciador de este pensamiento en las Cámaras […]. Nuestros pueblos […] no están aptos para entrar en el régimen municipal que indudablemente atacaría a su organización militar, y aún su organización política que son la base de su orden actual […].
A partir de estas consideraciones, planteaba el comportamiento a seguir por la legislatura y el propio gobernador en los siguientes términos:
Si en algo nos hemos de atener en los hechos practicados para emitir un juicio, […] digo que las municipalidades son elementos revolucionarios y de desorden. […] Espero, pues que hagas, como me lo prometes, todo lo posible, pareciéndose que tendremos mayoría en la Cámara para rechazar el proyecto. Y si contra todas estas esperanzas llegara a sancionarse, el Gobierno debe vetarla una y cuantas veces sean necesarias.[6]
Este intercambio epistolar entre el máximo referente político entrerriano y el funcionario ministerial pone de manifiesto la reticencia de la dirigencia provincial, especialmente por quienes encabezaban el ejecutivo, a ceder parte de su control político. En estos términos, la carta da pistas sobre las ambigüedades de la actuación política de Urquiza y respecto de las contradicciones del sistema institucional de Entre Ríos durante la década de 1860 que funcionaba montado sobre concepciones contrapuestas: con instituciones republicanas que intentaron resguardar la división de poderes, la libertad de opinión, la creación de municipalidades, la reelección del gobernador, entre otras cuestiones establecidas por la constitución provincial; y, al mismo tiempo, coexistieron con la perduración de prácticas personalistas y de concentración de poder en el Ejecutivo (Schmit, 2015).
A decir verdad, como sugirió Mariana Pérez (2020) sobre los sentidos políticos de la revolución de López Jordán en 1870, la negación de Urquiza a la sanción de un régimen municipal en Entre Ríos fue una de las razones que el movimiento jordanista invocó para socavar su política “personalista”. Sin embargo, no encontramos pruebas de que los diputados trataron la ley de municipalidades ese año, tarea difícil de llevar adelante en una compleja coyuntura político-militar para esta provincia que fue intervenida por el gobierno nacional. Sobre el tema, mencionamos que, después de la victoria de Buenos Aires en Pavón, la consagración presidencial de Mitre y la imposición de gobiernos liberales en todo el país (excepto en Entre Ríos que se mantuvo gobernada por Urquiza), se abrió una crisis en el liderazgo de Urquiza que culminó con su asesinato en abril de 1870. El responsable fue un grupo de milicianos cercanos a Ricardo López Jordán, quien, a los pocos días, fue ungido por la legislatura como gobernador. Como respuesta, el presidente de la república, Domingo Sarmiento, decretó el estado de sitio en esta provincia que fue resistido por los jordanistas, quienes se concebían como “federales” críticos al urquicismo (Bressan, 2018).
Seguramente, la valoración sombría que los jordanistas configuraron sobre la negación de Urquiza en torno al régimen municipal radicaba en que el gobierno entrerriano desde 1860 había implementado municipalidades solamente en dos localidades (Paraná y San José), mientras que los vecinos de las demás villas y ciudades entrerrianas reclamaban por el establecimiento de estas corporaciones en sus límites territoriales (Kozul, 2021; 2002). En 1865, una petición de los vecinos de Gualeguaychú, publicada por La Democracia, puso en relieve este asunto:
El gobierno no quiere que se establezcan municipalidades, porque esa institución haría aminorar las rentas que percibe. […] ¿Qué ley impera entonces en la Provincia? ¿La voluntad del gobierno o la Constitución? Si la primera, rómpase nuestro pacto social, y dese de una vez al P. E. facultades extraordinarias. Si la segunda, póngase la C. en la altura que le corresponde, dicte la Ley de Municipalidades, y el gobierno no tendrá otro remedio que cumplir lo que ella determine.[7]
Estas presiones difundidas por la prensa apremiaron al gobierno para que las localidades contaran, al menos provisoriamente, con una corporación que se ocupara de los asuntos comunales. Por consiguiente, para cumplir relativamente con la constitución provincial que fijaba el establecimiento de municipalidades, el gobernador elevó a la Cámara Legislativa, en febrero de 1867, un proyecto creando juntas de fomento provisorias.[8]
Tres meses después, se aprobó en la legislatura, luego del debate entablado por los diputados sobre las prerrogativas que tendrían las juntas. Leguizamón discurrió sobre su alcance en la administración de establecimientos educativos. La respuesta del diputado que redactó el proyecto, Esteban Moreno, fue que las escuelas dependerían de la Inspección General, pero bajo la vigilancia de las juntas.[9] Esta aclaración no fue suficiente. Barañao advirtió que las juntas superpondrían sus atribuciones a las del inspector. En respuesta, Moreno indicó que la Inspección General permanecía “en todo su ser”, las juntas se dirigirían a ella para recabar información sobre las medidas necesarias en pos del progreso escolar. En esa sintonía, Leguizamón recalcó la necesidad que había de realizar “aclaraciones” para expresar que las corporaciones estarían bajo “autoridad de la Inspección”. No obstante, Moreno negó la posibilidad de alterar el texto prístino.
Lejos de resolverse esta dilación, el diputado Olegario Andrade solicitó definiciones sobre los gastos que las juntas asumirían. La réplica de Moreno fue taxativa: como las juntas no dispondrían de “todas las rentas municipales, [no era] justo ni equitativo” imponerles la plenitud de sus obligaciones. Finalmente, en mayo prosiguió su tratamiento.[10] Para Moreno, esta normativa tenía como objetivo “apaciguar la ansiedad manifestada en los Pueblos de la Provincia” por disponer de municipalidades. El dilema pasó, nuevamente, por los gastos escolares. Moreno reiteró que solo atenderían su administración dado que las rentas asignadas no eran suficientes. Tras disipar estas inquietudes, los diputados aprobaron el proyecto por unanimidad.
A modo de reflexión, argumentamos que los debates en la legislatura entrerriana indican un intento del estado por homogeneizar los gobiernos locales por medio de la conformación de juntas de fomento. También, iluminan las desconfianzas que tuvieron los diputados con respecto a las funciones y prerrogativas que el gobierno delegaría a las juntas, y muestran las disensiones y dilaciones en la definición de su jurisdicción.[11] Asimismo, exhiben sus preocupaciones sobre cuestiones de poder político, desafíos económicos y distribución de recursos. Tales desacuerdos, postergaron la instalación de municipalidades hasta 1873.
2. Implementación de las juntas
Para iniciar este apartado, resaltamos los criterios que siguió el ejecutivo provincial para determinar la implementación de juntas de fomento en las ciudades cabeceras departamentales. Al comienzo de la década de 1860, la provincia se dividía en diez departamentos a cargo de jefes políticos. En ese escenario, el gobernador delegó la administración de los ámbitos urbanos a las juntas, mientras que las jefaturas continuaron al frente de los distritos rurales.
Por su parte, en párrafos anteriores resaltamos que como paliativo a la ausencia de municipalidades el gobernador elevó a la legislatura la Ley de Creación de Juntas de Fomento.[12] Sin dudas, el principal dilema que presentó esta normativa tuvo que ver con la elección de sus miembros. Dicha ley, definió que se efectuaran con arreglo a la Ley de Elecciones (1861) que acordaba la votación directa para cargos “municipales […] pudiendo recaer sobre los extranjeros domiciliados”.[13]
Pero, en 1868, el gobierno provincial prescribió el voto calificado para los extranjeros al estipular que pudieran votar y ser elegibles para cargos municipales siempre y cuando fueran vecinos “arraigados, capitalistas o que tuvieran alguna industria”.[14] Días antes de su sanción, esta modificación fue debatida en la Cámara Legislativa y generó ciertas controversias. Un diputado de la comisión redactora, Julián Medrano, justificó el derecho al voto de los inmigrantes debido a que: “la población extranjera [era] tan numerosa en [los] pueblos y que una gran parte de [sus] intereses [estaban] representados en los extranjeros”. En desacuerdo, Mariano Martínez interpeló a la legislatura para que se incluyera un requisito económico sobre los extranjeros que ejercerían el voto. Este, se opuso a que el “único privilegio [que tenía] el ciudadano argentino” se le conceda al extranjero.[15] A pesar de las discusiones que se suscitaron alrededor de esta moción, se agregó la calificación de “capitalista” como requisito para el ejercicio del sufragio.
Si bien no sabemos a qué le temían los diputados que pretendían limitar la participación de extranjeros en las elecciones municipales, podemos decir que en algunas localidades donde funcionaban municipalidades, como en la Colonia San José, el número de extranjeros era prominente (Kozul, 2021). Más concretamente, en Gualeguaychú, los inmigrantes representaban la mitad de su población.[16] Lo cierto es que, al momento de reglamentar el funcionamiento de las juntas, el gobernador ordenó la colaboración de los jefes políticos en sus asuntos.[17] Empero, como veremos luego, se produjeron serios conflictos entre ambas instituciones.
Para culminar, es menester subrayar que Gualeguaychú fue la única ciudad que tuvo cierta continuidad entre la junta de fomento y su municipalidad, lo que permite analizar las características que presentó esa corporación como una experiencia primigenia de cuerpo colegiado que se articuló con la jefatura política. Tales cuestiones, justificaron la selección del caso que se aprecia en los siguientes párrafos.
3. Instalación de la junta de Gualeguaychú
Amén de sus orígenes enraizados en la época colonial, la relevancia política y económica de la jurisdicción territorial de Gualeguaychú se manifestó a mediados del siglo XIX, por dos factores. Por un lado, el gobernador Urquiza elevó esta “villa” a rango de “ciudad” (1851); cabecera que, para finales de los años sesenta, era la segunda más poblada en suelo entrerriano.[18] A la par, contó con un desarrollo sostenido de su centro urbano, una veloz ampliación de sus espacios políticos y de la prensa (Pérez, 2015). Por otro lado, entre 1850-1870, exhibió un crecimiento demográfico y productivo. Gualeguaychú fue el departamento con mayor aumento de población, habitado por grandes productores ganaderos que concentraban las tierras mejor cotizadas por su calidad y cercanía a las principales ciudades, puertos y mercados locales. En esta coyuntura, se transformó en una zona ganadera pujante que producía un cuarto del stock de la segunda provincia más acaudalada del país (Schmit, 2008).
Este dinamismo económico se tradujo en mejoras edilicias y en la instalación de múltiples instituciones: mejoramiento del alumbrado, nomenclatura de calles, construcción del cementerio y el edificio para la capitanía del puerto; el gobierno provincial instaló allí un juzgado de paz y uno de primera instancia, inauguró el teatro, un hospital, su muelle y el mercado; entre otros establecimientos (Fernández et al, 2012). En ese contexto, y luego de efectuarse las elecciones correspondientes, en mayo de 1867 fue instalada la junta de fomento de Gualeguaychú.
3.1. Participación y competencia electoral
Días antes de las elecciones que permitirían integrar esta junta, el jefe político interrogó al gobernador sobre la aplicación de la Ley de Juntas de Fomento, refirió al artículo que estatuyó para las poblaciones donde existían “Municipalidades o Juntas que continúen funcionando durante un año”. Preguntó si la comisión de vecinos que existía en esta ciudad estaba comprendida en esa disposición o, por el contrario, debía “practicarse una elección”.[19] Posiblemente su confusión radicara en que algunos vecinos habían sido nombrados por la legislatura para desempeñarse en comisiones que funcionaron meses antes de la implementación de la junta, pero sin el reconocimiento como cuerpo colegiado. A la semana, como se retrasó la convocatoria, el jefe político insistió que continuaran los mismos individuos que integraban dichas comisiones y no se efectuaran las elecciones.[20]
Al respecto, aclaramos que la junta de fomento de Gualeguaychú se renovó en dos oportunidades. En la primera elección, practicada en mayo de 1867, encontramos cierta competencia política en las publicaciones de la prensa. Observamos que los electos no concordaron con las listas de vecinos que publicaron algunos periódicos.[21] Por eso, meses después, El País manifestó su descontento ante los resultados que arrojó aquella elección, afirmando que “los hombres serios del pueblo se abstuvieron de concurrir a los comicios, [porque] el derecho de la propia conservación […] peligraba, delante de algunos amiguitos”.[22]
Después de su conformación, esta junta intervino en diversos temas: vendió papel sellado, amplió servicios médicos, mejoró el alumbrado, realizó obras, prohibió la venta de frutas, legumbres y carnes en descomposición; estableció el impuesto de tablada al igual que patentes para perros, rodados y derechos de cementerio; contrató empleados y se ocupó del aseo.[23]
En simultáneo, elaboró ordenanzas para regular el precio del pan y de la carne abriendo un conflicto con los empresarios de aquellos ramos. La Regeneración relató esos hechos: “[los panaderos] están en abierta rebelión contra la Junta de Fomento. No quieren cumplir sus ordenanzas”.[24] Análogas palabras vertió El País: “los panaderos y los carniceros [vendían] pan de menos peso que antes, crudo y de pésima calidad, y […] carnes casi todos los días cansada y más cara”.[25] No obstante, según el jefe político, esa prerrogativa correspondía a la jefatura política. Efectivamente, según el fiscal, la normativa atribuía en el jefe político la potestad y obligación de vigilar la venta de tales productos.[26] Por este motivo, la junta de fomento anuló su intervención sobre el pan y la carne.[27]
Por otra parte, la elección para renovar cuatro miembros de la junta, efectuada en julio de 1869, refuerza la idea de que muchos vecinos participaron en estos actos no solo como electores, sino también, compitieron por los cargos en disputa. Los electos reemplazaron a quienes habían cesado por sorteo.[28] Mencionamos que esta elección primeramente se había suspendido por la demora de su convocatoria, se efectuó cuando el gobernador dispuso una nueva fecha.[29] En esta elección, los vecinos no votaron de manera unánime: de los 429 sufragios, solamente Pedro Fernández recibió el total, pero no aceptó el cargo; con un voto menos fue reelegido Manuel Magnasco; se incorporaron, además, tres nuevos miembros: Benigno Iriarte (424 votos), Pastor Britos (360) y, por la baja de Fernández, entró Bernardo Goyri.[30] Lo interesante es que, luego de efectuarse el escrutinio, los electos demoraron en incorporarse. Por esa razón, los miembros vigentes solicitaron al gobernador que obligara el ingreso de “los elegidos por el pueblo para poder funcionar legalmente”.[31]
Amerita una reflexión sobre la demora generada desde el jefe político en la convocatoria a elecciones para integrar la junta hasta la incorporación de los electos para renovar esta corporación. En principio, tales episodios ponen en evidencia cómo costó que la jefatura política aceptara la posibilidad de las elecciones de los vecinos y su disminución del control sobre los asuntos comunales. A estas dos aristas, sumamos la resistencia de los panaderos y carniceros, la heterogeneidad en el sufragio de los electores y la falta de predisposición de algunos vecinos para integrar la junta de fomento, sucesos que exhiben las tensiones existentes en relación con la representación que ejerció esta corporación en su etapa de conformación.
A la par, triangulamos el número de vecinos empadronados en 1863 (850) con los votos emitidos en 1867 y 1869.[32] Este ejercicio, verifica una participación del 52 %. Si calculamos sobre la población total de la ciudad (9.976 habs.), el porcentaje se reduce al 4 %. De todos modos, se trata de un porcentaje relativamente alto según los parámetros de la época.
Elecciones municipales en Entre Ríos, 1863-1869

Tales cifras, disienten con los estudios que han explorado las elecciones municipales en otras provincias. Estos, subrayan la falta de interés en los vecinos, una exigua competencia por los cargos que se dirimían o, peor aún, la ausencia de votantes (Conti y Boto, 1997; Megías, 1995).[33] Más bien, nuestro caso se ajusta a una tendencia señalada por quienes estudiaron las primeras elecciones en la campaña bonaerense hacia la década de 1850, las cuales presentaron una mayor convocatoria que se reflejó en la dispersión del voto (Canedo, 2018; González Lopardo, 2021).
Al examinar las listas de votantes, se acrecientan las conjeturas en relación con las características que tuvo la participación electoral en Gualeguaychú. En ambas elecciones, identificamos que los integrantes de la mesa escrutadora no emitieron su voto, tampoco los electos y la participación de los electores fue heterogénea. Si cruzamos esta información con el censo es posible verificar de dónde provinieron y qué tipo de ocupaciones tuvieron tales sufragantes.
Procedencia de electores, 1867 y 1869

Como se observa, los electores que nacieron en distintas provincias comprendieron, aproximadamente, poco más de la mitad. Mayoritariamente fueron entrerrianos, en menor medida, bonaerenses y santafesinos; sin obviar que los electores nacidos en las provincias fueron quienes más se redujeron entre una elección y otra. En cambio, la fracción que se amplió en ese bienio fue la que provino de países extranjeros. Si agrupamos a los europeos, pasaron de significar un 5 % (1867) a simbolizar más de una cuarte parte del total (1869), con un fuerte incremento de los italianos. También los orientales acrecentaron su porcentaje, alcanzando el 15 % en la elección para renovar la junta. Por lo tanto, consideramos que los electores extranjeros en Gualeguaychú aprovecharon la ocasión para poner en práctica las prerrogativas electorales a nivel municipal otorgadas por la legislatura, problema que desarrollamos en el segundo apartado.
Ocupación de los electores, 1867 y 1869

Aunque no podemos conocer qué tipos de conexiones existieron entre electores y electos (individuos que luego examinaremos), anticipamos que aquellos no se confundieron con los miembros de la junta: no fueron socios de clubes, mucho menos ocuparon cargos locales, ni siquiera se observaron vecinos destacados en las actividades de la ciudad. Por ende, inferimos que estas elecciones no reunieron a las familias conspicuas de Gualeguaychú, sino que predominaron los trabajadores asalariados y pequeños productores radicados en la campaña. Más abajo, pero siendo los sectores sociales que más aumentaron entre ambas elecciones, situamos a los artesanos urbanos, a quienes administraban los servicios que cubrían las necesidades de la comunidad y los comerciantes que crecieron al ritmo que aumentaron los electores extranjeros.
Es notable observar, al igual que en el cuadro anterior, cómo en dos años cambió el perfil de quiénes se acercaron a votar. La disminución de asalariados es muy marcada, lo mismo se aprecia en cuanto a los productores de la campaña. Asimismo, es claro el aumento de los comerciantes y de profesiones liberales. Esta observación coincide, no casualmente, con la variación que visualizamos en la procedencia geográfica de los electores. Probablemente tuvo que ver con el impacto de los inmigrantes en el ámbito urbano de Gualeguaychú y en sus asuntos a finales de los años sesenta.
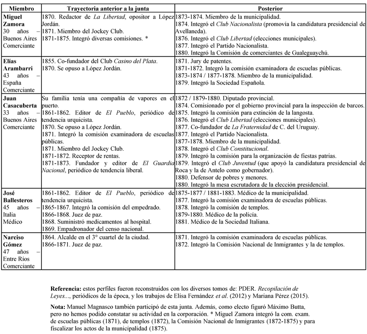
3.2. Perfiles de sus miembros
En este punto, nos interesa poner en evidencia los contrastes que existieron entre electores y electos para integrar la junta de fomento. Reconstruimos los perfiles de quienes integraron las tres etapas en que la junta se mantuvo activa, tomando como base la elección que permitió integrar esta corporación, su renovación de miembros y la elección que se efectuó en diciembre de 1871 para reemplazar a quienes habían cesado, cuyas actas no disponemos, pero corroboramos que se llevó a cabo.[34]
Miembros
de la junta (1867-1869)
Miembros
de la junta (1869-1871)
Miembros de la junta (1872-1873)

Estos cuadros, revelan un equilibrio en la procedencia de los individuos que integraron la junta, hablamos de ocho extranjeros, mientras que el resto nacieron en distintas provincias. Como se observa, existió una representación desigual entre entrerrianos y los que nacieron en espacios limítrofes. De esta manera, sus lugares de nacimiento fueron divergentes con quienes ocuparon los principales cargos provinciales en esa época. En el ámbito provincial, los individuos que acreditaban su nacimiento en Entre Ríos fueron superiores en comparación a quiénes provenían de otras provincias (Pérez, 2023), que, dicho sea de paso, tampoco eran oriundos de espacios provinciales circundantes como observamos en los miembros que integraron la junta.
Ahora bien, acerca de sus profesiones, distinguimos una cifra superior de comerciantes, primordialmente que nacieron en Europa, dedicados al transporte de mercaderías y que participaban en las actividades políticas y culturales que los extranjeros desarrollaban en Gualeguaychú, fundamentalmente conectadas con la prensa (Pérez, 2015). Por lo tanto, podemos considerar que quienes integraron la junta de fomento de Gualeguaychú fueron hombres medianamente jóvenes que venían ocupando cargos institucionales o desempeñándose en actividades socio-culturales de su comunidad, y que continuaron en el ámbito municipal vinculándose así a un plano más politizado, en referencia al gobierno provincial y en menor medida a la esfera nacional.
Hay otro aspecto distintivo, esta corporación debió afrontar algunas renuncias que fueron aceptadas por el gobierno provincial, pero sus miembros maniobraron esos inconvenientes a través de la incorporación de suplentes, la rápida comunicación al gobernador para que convocara a elecciones y el dinamismo que varios de sus miembros le imprimieron al ámbito local; estos requisitos no se observaron en otras juntas de la provincia. Tales condiciones, explican por qué esta corporación funcionó hasta que fue reemplazada por la municipalidad, obviando a los titulares de la prensa que prematuramente proferían su fin.[35]
En suma, nuestro análisis coincide con la hipótesis de Pérez (2015) –en su estudio sobre la prensa y los espacios políticos de Gualeguaychú en los años sesenta– cuando asevera que los principales actores políticos de esta ciudad pertenecieron al grupo de notables locales. En la junta, registramos cinco de sus miembros que escribieron en periódicos, los cuales estaban inmiscuidos en las discusiones políticas de la época y se mantenían vinculados, económica y culturalmente, con Buenos Aires y Montevideo (Bressan, 2018). En este sentido, sostenemos que nuestro aporte analítico a una mejor comprensión de estas dinámicas políticas se ve reflejado en la centralidad que tuvo esta junta de fomento como la primera experiencia de cuerpo colegiado en Gualeguaychú.
Empero, es necesario resaltar que los aspectos relacionales entre sus miembros constituyeron un perfil particular de notabilidad que se caracterizó por una leve injerencia política a nivel provincial, pero con prolíficas labores en las actividades que se desarrollaban en esa ciudad: seis miembros de la junta integraron la municipalidad en la década siguiente. Además, mayoritariamente habían conformado, y conformarán, comisiones de diverso tipo e integraron las sociedades masónicas y los clubes sociales. Paralelamente, mostraron una densa trayectoria en la función pública a escala local: el 73 % de los miembros había actuado, o actuará, como alcalde, juez de paz o defensor de pobres y menores.
Una vez que analizamos las dinámicas internas que presentó esta junta de fomento, nos ocupamos de analizar los tipos de relaciones que entabló con autoridades aledañas y empresarios locales, como también, examinar sus formas de articulación con el gobierno entrerriano.
4. Tensiones entre jurisdicciones locales
De acuerdo con Pérez (2015), desde 1863 los periódicos locales –principalmente La Democracia– reclamaron constantemente a la legislatura que sancionara una ley de municipalidades, procurando coartar lo que consideraban el poder omnímodo y centralista que ejercía el Poder Ejecutivo provincial a través de sus jefaturas políticas. Hemos advertido que, a partir de 1860, los jefes políticos controlaron los distritos rurales de cada departamento, el gobierno los facultó con funciones policiales para ordenar la vida cotidiana, pero sus amplias y diversas obligaciones se fueron acrecentando a tal punto que asumieron labores administrativas en las ciudades hasta que se instalaron instituciones municipales; ejercieron un poder unipersonal y dependieron del gobernador quien transfería sus recursos y designaba los empleados. En cambio, desde 1867, las juntas de fomento, que tuvieron jurisdicción en centros urbanos, dispusieron de bienes y rentas propias, intervinieron en sus respectivas elecciones, funcionaron de manera colegiada y sus miembros fueron electos popularmente.
El pleito más fuerte entre ambas autoridades se produjo a fines de 1869. El presidente de la junta declaró que sus agentes sorprendieron un embarque de 64 cueros pertenecientes a Domingo Garbino con “infracción de la ley”, autorizado por el jefe político (Gregorio Haedo).[36] La junta mandó a detener el buque con el argumento de que los cueros no fueron inspeccionados por la jefatura.[37] Con una opinión opuesta, Haedo interpretó el accionar de la junta como un “despojo”, porque, según este funcionario departamental, la corporación no tenía derecho para decomisar los cueros.[38]
En otra nota, el presidente de la junta se apoyó en la Ley de Marchamo (1864) para dirigirse al ministro general:
La Junta, […] sintiéndose herida por un fraude en su propiedad, tuvo derecho para pedir a la Capitanía del Puerto la suspensión del viaje del buque en que se hacía el defraude y en que había sospecha que […] el Capitán del Puerto, infringiendo […] el principio que rige la protección mutua de las autoridades de distinto orden, se denegó a la solicitud de la corporación.[39]
Ciertamente, el gobierno provincial no involucró mediante la sanción de esta normativa la participación de las juntas en la fiscalización del marchamo de cueros debido a que, para ese año, aún no existían gobiernos municipales. Más bien, encargó su vigilancia a los comisarios de tablada que dependían de la jefatura política.[40] Pero, tres años más tarde, la Ley de Juntas de Fomento reconoció al marchamo de cueros como derecho municipal.
Ambas leyes, provocaron una contradicción de intereses entre la jefatura que estaba al frente de su vigilancia con respecto a la junta que percibía su recaudación. No es menor resaltar que la junta de Gualeguaychú fue la única que pretendió recaudar el impuesto de marchamo, recurso que representaba la mitad de sus ingresos.
Entradas
anuales de la junta, 1868-1872
Una vez reunidos los testimonios correspondientes, el fiscal sentenció que la jefatura y la capitanía se rehusaron “al sostenimiento de las leyes [y desconocieron] los derechos” de la junta.[41] El gobierno resolvió que se procediera al marchamo y que su resolución circulara a todas las jefaturas y juntas de la provincia.[42] Pese a que la medida favoreció a la junta, la consideró “incompleta” por dos razones: no fue promulgada como decreto y no se penalizó a Garbino quien fue eximido de culpabilidad con el pretexto de que “no podía penarse a los particulares por los errores de la autoridad”.[43]
Sobre este punto, abrimos el recorte temporal para señalar que en 1873 Garbino incurrió en idéntica infracción, aunque con resultados más favorables, cuando los comisarios municipales –ya constituida la municipalidad– detuvieron un buque que transportaba su mercadería. El Orden particularizó el litigio contra el presidente municipal, Cándido Irazusta (quien había presidido años antes la junta de fomento). Su redactor reclamó que “los miembros de la Municipalidad […] y los amigos [del Presidente]” perjudicaron a Garbino.[44] El propio comerciante atestiguó eso ante el juez de alzada:
Suponía que la detención que me hicieron de unos cueros vacunos secos al tiempo de embarcarlos, no pasaría de una formalidad. Mas, hoy conozco que el Sr. Presidente de esta Municipalidad, y mi enemigo personal, trata de causarme serios perjuicios, y lo que más me molesta es que trata de ensuciar mi reputación.[45]
Dos semanas después, intercambió cartas con un comerciante local, quien aconsejó que abonara la multa dispuesta por la municipalidad. La respuesta de Garbino fue negativa.[46] Al otro día, elevó su reclamo a la municipalidad.[47] Pero, el presidente municipal rechazó su apelación y avaló esta decisión con el argumento de que había sido tomada conjuntamente con los demás miembros.[48]
Sin embargo, la lectura de los hechos que realizó el fiscal fue contraria a los intereses municipales. La fiscalía aconsejó al gobernador que la corporación se retrotrajera de sus acciones y encomendara a la jefatura para que resolviera el problema. Por consiguiente, el ministro general ordenó que el jefe político indagara sobre la perpetración del delito, regañó a la municipalidad por omitir la remisión de los antecedentes que autorizaron sus sospechas, aclaró que debía seguir la vía jerárquica (por la jefatura política) y, para terminar, estableció que tratándose de infracciones a ordenanzas municipales tenía que recabar el concurso de la policía, pero sin avasallar el límite de su jurisdicción.
A pesar de esta resolución, Garbino abonó la multa, sus cueros fueron decomisados y las tensiones con la municipalidad continuaron. De este modo, finalizamos nuestro recorrido resaltando que, desde 1873, la municipalidad de Gualeguaychú –como sucedió en las demás localidades entrerrianas– suplantó las funciones y prerrogativas que concentraba la junta de fomento. Pero, en comparación con otras ciudades de esta provincia, lo hizo sin la intermediación de la jefatura política.
Conclusión
En este artículo, pudimos reconstruir las dinámicas políticas en torno a la implementación de juntas de fomento en Entre Ríos, proceso que impulsó el ejecutivo provincial con la deliberación de la Cámara Legislativa. Como observamos, no existió consenso entre los principales grupos de poder para el establecimiento de las municipalidades, pero en la constitución provincial se había dispuesto y en la legislatura se presentó una ley sobre la materia, sumado a que varios legisladores y ciertos diarios insistían con el tema. Por eso, consideramos que el gobierno provincial apaciguó esta situación por medio de la conformación de juntas de fomento, dando lugar al primer intento por parte del estado entrerriano de homogeneizar el gobierno de sus localidades.
Un primer plano a resaltar es que, del universo de miembros examinados, la mayoría fue inmigrante, principalmente españoles e italianos; solo dos acreditaron su nacimiento en Entre Ríos. Por otra parte, sus actividades registradas indican una superioridad de comerciantes, seguida de profesiones liberales. Estos individuos, cabe agregar, no gravitaron en la arena política a nivel provincial, más bien, se acoplaron a los asuntos comunales.
En segundo lugar, definimos el desempeño de estos actores en la configuración de jurisdicciones municipales, y su integración en los principales entramados políticos, económicos y sociales de la época. Incluso, expusimos cómo intervinieron en muchas cuestiones que no estaban claramente reguladas por la normativa vigente. Todo esto, permite apreciar que la implementación de juntas de fomento fue una tarea compleja que afrontó el gobierno provincial y que, además, tuvo relación con tradiciones gubernamentales y configuraciones históricas que convergieron en esa década.
Otra reflexión remite a que las juntas, según lo observado en el caso de Gualeguaychú, asumieron funciones de vigilancia y recaudación que hasta 1867 el gobierno provincial había asumido por medio de funcionarios designados para tal objeto. Sin dudas, los roces sobresalientes que experimentaron estas corporaciones se produjeron con los jefes políticos. Aquí, revelamos que los individuos que ocuparon esos cargos se valieron de los intersticios jurídicos para imponer sus propósitos, personales o corporativos, y entablaron fuertes desacuerdos alentados por la existencia de leyes contrapuestas que regulaban la fiscalización de una misma área. No obstante, sus vínculos no fueron meramente conflictivos, puesto que en varias ocasiones colaboraron entre sí para atender las necesidades de la comunidad; tema que será abordado en futuras investigaciones.
En síntesis, en estas páginas arribamos a tres conclusiones generales. Primero, la legitimidad que tuvo el régimen municipal en la población entrerriana que se manifestó fundamentalmente en las facciones políticas y ciertos periódicos de la época. Segundo, las reticencias del gobierno provincial para ceder los recursos fiscales y delimitar las prerrogativas administrativas de las juntas de fomento. Por último, la postergación del ejecutivo provincial a ceder parte de su control político, pues la conformación de estas corporaciones implicó la realización de elecciones directas.
Bibliografía
Alabart, M. y Pérez, M. (2019). Conflicto político y prensa federal durante la Guerra de la Triple Alianza. Entre Ríos, 1864-1867. Revista de Indias, (276), 551-580.
Bressan, R. (2018). Alianzas, negociaciones y conflictos. Dinámicas de los elencos políticos del Litoral de los Ríos, 1862-1883. Rosario: Prohistoria.
Canedo, M. (2018). “En la Campaña se ha despertado un espíritu maligno”. Estrategias políticas y divisiones sociales en las primeras elecciones municipales (Estado de Buenos Aires, 1855). Illes Imperis, (21), 167-193.
Canedo, M. y Pyke, L. (2020). La implementación de municipalidades en provincias y territorios nacionales argentinos. Pugnas de intereses y potestades entre gobiernos (1850-1930). Historia Regional, XXXIII (42), 1-6.
Conti, V. y Boto, S. (1997). Finanzas municipales en el siglo XIX. La emisión monetaria como recurso fiscal en argentina. América Latina en la Historia Económica, (7), 35-45.
Fernández, E. et al. (2012). Historia de San José de Gualeguaychú. Desde sus orígenes hasta 1883. Gualeguaychú: Municipalidad de Gualeguaychú.
González Lopardo, P. (2021). Elecciones municipales, intervenciones del gobierno y conformación de elencos políticos. Baradero, 1856-1862. Prohistoria, XXIV (36), 1-27.
Kozul, P. (2021). La municipalidad como ámbito de mediación local entre colonos y estancieros: San José en la década de 1860. EjES, (9), 102-125.
Kozul, P. (2022). La municipalidad de Paraná: contexto, actores y aspectos económicos (1860-1862). Secuencia, (113), 1-37.
Megías, A. (1996). La formación de una elite de notables-dirigentes. Rosario, 1860-1890. Buenos Aires: Biblos.
Pérez, M. (2015). Un baluarte liberal en Entre Ríos: el periódico La Democracia de Gualeguaychú (1863-1867). En R. Schmit (Comp.), Caudillos, política e instituciones en los orígenes de la Nación Argentina (pp. 133-160). Buenos Aires: UNGS.
Pérez, M. (2020). “¡Abajo el tirano Urquiza!” propaganda e identidades políticas en la revolución jordanista de 1870. PolHis, 13 (26), 374-400.
Pérez, M. (2021). Prensa, lectores y política. Entre Ríos a mediados del siglo XIX. En F. Herrero y G. Pressel (Comps.), Lenguajes y prácticas, en un imaginario político dinámico y cambiante (pp. 63-103). Paraná: Eureka.
Pérez, M. (2023). La dirigencia política de Entre Ríos: perfil social y trayectorias (1862-1890). En E. Míguez, B. Bragoni y G. Paz (Comps.), La dirigencia política argentina de la segunda mitad del siglo XIX (pp. 141-165). Buenos Aires: Edhasa.
Schmit, R. (2008). Los límites del progreso: expansión rural en los orígenes del capitalismo rioplatense. Entre Ríos, 1852-1872. En O. Barsky (Comp.), Historia del capitalismo agrario Pampeano. T. V. Buenos Aires: Siglo XXI.
Schmit, R. (2015). El poder político provincial y el cambio institucional. En R. Schmit (Comp.), Caudillos, política e instituciones en los orígenes de la Nación Argentina (pp. 25-50). Buenos Aires: UNGS.
[1] El presente artículo fue elaborado como parte de los resultados del proyecto PIP N° 11220200101827CO Política y fiscalidad en el litoral rioplatense 1850-1870. Las relaciones entre gobiernos municipales y provinciales durante la organización del estado nacional argentino financiado por el Consejo Nacional de Investigaciones Científicas y Técnicas.
[2] Un balance reciente y exhaustivo sobre la historiografía que gira en torno a esta problemática: (Canedo y Pyke, 2020).
[3] Tenemos una valiosa excepción en el trabajo de Mariana Canedo (2018) sobre las comisiones municipales que funcionaron en la campaña bonaerense entre 1854-1856 como instancia previa a la instalación de municipalidades.
[4] Archivo General de Entre Ríos (AGER). 29/4/1866. Fondo Legislativo (FL). 7° PL., s. 28°.
[5] Justo José de Urquiza, por entonces, era comandante de las milicias entrerrianas. Anteriormente, había presidido la Confederación Argentina (1854-1860) y desempeñado como gobernador de Entre Ríos en la década de 1840, cargo que asumió nuevamente en 1860 y que mantuvo –con un breve periodo intermedio de Domínguez– hasta su muerte en 1870.
[6] Archivo General de la Nación (AGN). 11/4/1866. Fondo Urquiza (FU), leg. 1899.
[7] Museo Casa de Haedo (MCH). “Municipalidades”, en La Democracia, 19 de febrero de 1865.
[8] AGER. 18/2/1867. FL. 8° PL, s. 3°.
[9] AGER. 11/3/1867. FL. 8° PL, s. 4°.
[10] AGER. 7/5/1867. FL. 8° PL, s. extr.
[11] La interacción entre los gobiernos provinciales y sus respectivas legislaturas, como el rol que tuvieron los legisladores en los programas de gobierno, ha concitado un renovado interés en los últimos años. Al respecto, sugerimos las investigaciones efectuadas para el caso entrerriano por Raquel Bressan (2018).
[12] Provincia de Entre Ríos (PDER). 11/3/1867. Recopilación de Leyes, Decretos y Acuerdos de la Provincia de Entre Ríos. T. X. Uruguay: La Voz del Pueblo, 1876, 26-29.
[13] PDER. 16/2/1861. Recopilación de Leyes...T. VII, 338-339.
[14] PDER. 20/4/1868. Recopilación de Leyes…T. X, 200.
[15] AGER. 20/4/1868. FL. 9° PL, s. 15°.
[16] Por falta de espacio, omitimos la mención de los datos poblacionales de esta ciudad que sistematizamos en nuestra tesis doctoral.
[17] PDER. 1/7/1867. Recopilación de Leyes...T. X, 91-94.
[18] PDER. 4/11/1851. Recopilación de Leyes…T. VI., 149.
[19] AGER. 6/4/1867. S. XII. Subs. H, c. 1, leg. 8.
[20] AGER. 15/4/1867. S. XII. Sub. H, c. 1, leg. 8.
[21] Hemeroteca de la Universidad Nacional de La Plata (H. UNLP). “Juntas de fomento”, en La Regeneración, 7 de abril de 1867.
[22] H. UNLP. “La Junta de Fomento en plena anarquía”, en El País, 18 de octubre de 1867.
[23] H. UNLP. “La junta de fomento”, en La Regeneración, 24 de abril de 1867.
[24] H. UNLP. “Los panaderos”, en La Regeneración, 29 de septiembre de 1867.
[25] H. UNLP. “Lo que puede pasar…”, en El País, 16 de octubre de 1867.
[26] AGER. 30/9/1867. FH. S. VII, c. 2, leg. 19.
[27] H. UNLP. “Ordenanza”, en El País, 24 de noviembre de 1867.
[28] AGER. 19/4/1869. FG. S. XIII, c. 8, leg. 2.
[29] AGER. 18/6/1869. FG. S. XIII, c. 8, leg. 2.
[30] AGER. 18/7/1869. FG. S. XIV. Sub. H, c. 1, leg. 16.
[31] AGER. 18/8/1869. FG. S. XIII, c. 8, leg. 2.
[32] AGER. 13/12/1863. FG. S. XIV. Sub. H, c. 1, leg. 1. Somos precavidos de que el registro cívico de 1863 corresponde a una elección para diputados provinciales. Por lo tanto, el número de potenciales electores sería más bajo que en el nivel municipal, puesto que los extranjeros no podían sufragar.
[33] Los estudios sobre procesos electorales han realizado contribuciones prolíficas en el caso argentino. Sin embargo, se ha avanzado relativamente poco sobre elecciones municipales. Para profundizar en el tema, consideramos los artículos de Canedo (2018) y González Lopardo (2021) que referenciamos en este artículo.
[34] MCH. “Elecciones”, en El Guardia Nacional, 21 de diciembre de 1871.
[35] H. UNLP. “Se acabó la junta”, en El País, 11 de octubre de 1867.
[36] AGER. 19/11/1869. FG. S. XIII, c. 8, leg. 2. Domingo Garbino, nacido en Italia, contaba con un importante capital productivo en la ciudad: compartía una flota naviera con Urquiza, saladeros, acciones financieras, establecimientos comerciales y un gran patrimonio en tierras.
[37] AGER. 24/11/1869. FG. S. XIII. c. 8, leg. 2.
[38] AGER. 22/11/1869. FG. S. XIII. c. 8, leg. 2.
[39] AGER. 19/11/1869. FG. S. XIII, c. 8, leg. 2.
[40] PDER. 19/5/1864. Recopilación de Leyes…T. IX., 162-164.
[41] AGER. 29/11/1869. FG. S. XIII, c. 8, leg. 2.
[42] PDER. 7/12/1869. Recopilación de Leyes…T. X, 518-519.
[43] AGER. 18/12/1869. FH. S. XII. Subs. D, c. 1.
[44] MCH. “Cuestión cueros”, en El Orden, 20 de abril de 1873.
[45] AGN. 20/3/1873. Fondo Victorica (FV), leg. 23, c. 3148.
[46] AGN. 2/4/1873. FV, leg. 23, c. 3148.
[47] AGN. 3/4/1873. FV, leg. 23, c. 3148.
[48] MCH. “Asunto de los cueros”, en El Guardia Nacional, 1 de abril de 1873.